更多
APP下载
合作
商城
签到

互动论坛 聊天灌水 移民局ALO名单泄露,8427名POGO员工信息被疯传(全名单)

[复制链接]

该用户从未签到

69

主题

582

伯币

760

积分

韩国街菜鸟

积分
760
发表于 2024-12-5 15:49:19 | 显示全部楼层 | 阅读模式
本帖最后由 泰伯乐小编 于 2025-1-18 10:25 编辑

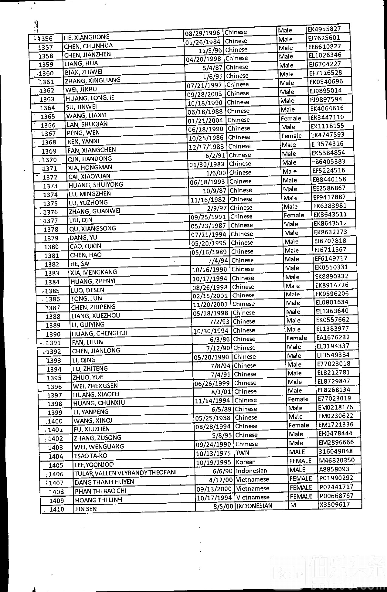
这份文件原本是菲律宾移民局的ALO监察名单,涉及到8427名外籍POGO员工的详细信息。名单中包含了员工的姓名、性别、出生日期、护照号码以及对应国籍等个人资料,涉及多个国家的员工,包括中国、越南、印度等。这些信息原本应该是移民局内部数据,但现在已被广泛泄露。


我们将在此处发布该文档,供需要查询的用户参考。请注意,这份文件的泄露可能对相关员工的隐私和安全带来严重影响,因此仅供需要的用户使用。如果你在名单中,或者涉及到与该名单相关的事务,务必小心处理个人信息,并采取必要的安全防范措施。

附上PDF原件可自行检索查询。
ALO泄漏名单(第一弹).pdf (8.23 MB, 下载次数: 165)
ALO_20BOC-2024-0120(2)_page-0001.jpg ALO_20BOC-2024-0120(2)_page-0002.jpg ALO_20BOC-2024-0120(2)_page-0003.jpg ALO_20BOC-2024-0120(2)_page-0004.jpg ALO_20BOC-2024-0120(2)_page-0005.jpg ALO_20BOC-2024-0120(2)_page-0006.jpg ALO_20BOC-2024-0120(2)_page-0007.jpg ALO_20BOC-2024-0120(2)_page-0008.jpg ALO_20BOC-2024-0120(2)_page-0009.jpg ALO_20BOC-2024-0120(2)_page-0010.jpg

该用户从未签到

69

主题

582

伯币

760

积分

韩国街菜鸟

积分
760
 楼主| 发表于 2024-12-5 15:55:34 | 显示全部楼层
ALO_20BOC-2024-0120(2)_page-0011.jpg ALO_20BOC-2024-0120(2)_page-0012.jpg ALO_20BOC-2024-0120(2)_page-0013.jpg ALO_20BOC-2024-0120(2)_page-0014.jpg ALO_20BOC-2024-0120(2)_page-0015.jpg ALO_20BOC-2024-0120(2)_page-0016.jpg ALO_20BOC-2024-0120(2)_page-0017.jpg ALO_20BOC-2024-0120(2)_page-0018.jpg ALO_20BOC-2024-0120(2)_page-0019.jpg ALO_20BOC-2024-0120(2)_page-0020.jpg

该用户从未签到

69

主题

582

伯币

760

积分

韩国街菜鸟

积分
760
 楼主| 发表于 2024-12-5 15:59:22 | 显示全部楼层
ALO_20BOC-2024-0120(2)_page-0021.jpg ALO_20BOC-2024-0120(2)_page-0022.jpg ALO_20BOC-2024-0120(2)_page-0023.jpg ALO_20BOC-2024-0120(2)_page-0024.jpg ALO_20BOC-2024-0120(2)_page-0025.jpg ALO_20BOC-2024-0120(2)_page-0026.jpg ALO_20BOC-2024-0120(2)_page-0027.jpg ALO_20BOC-2024-0120(2)_page-0028.jpg ALO_20BOC-2024-0120(2)_page-0029.jpg ALO_20BOC-2024-0120(2)_page-0030.jpg

该用户从未签到

69

主题

582

伯币

760

积分

韩国街菜鸟

积分
760
 楼主| 发表于 2024-12-5 16:01:13 | 显示全部楼层
ALO_20BOC-2024-0120(2)_page-0031.jpg ALO_20BOC-2024-0120(2)_page-0032.jpg ALO_20BOC-2024-0120(2)_page-0033.jpg ALO_20BOC-2024-0120(2)_page-0034.jpg ALO_20BOC-2024-0120(2)_page-0035.jpg ALO_20BOC-2024-0120(2)_page-0036.jpg ALO_20BOC-2024-0120(2)_page-0037.jpg ALO_20BOC-2024-0120(2)_page-0038.jpg ALO_20BOC-2024-0120(2)_page-0039.jpg ALO_20BOC-2024-0120(2)_page-0040.jpg

该用户从未签到

69

主题

582

伯币

760

积分

韩国街菜鸟

积分
760
 楼主| 发表于 2024-12-5 16:04:31 | 显示全部楼层
ALO_20BOC-2024-0120(2)_page-0041.jpg ALO_20BOC-2024-0120(2)_page-0042.jpg ALO_20BOC-2024-0120(2)_page-0043.jpg ALO_20BOC-2024-0120(2)_page-0044.jpg ALO_20BOC-2024-0120(2)_page-0045.jpg ALO_20BOC-2024-0120(2)_page-0046.jpg ALO_20BOC-2024-0120(2)_page-0047.jpg ALO_20BOC-2024-0120(2)_page-0048.jpg ALO_20BOC-2024-0120(2)_page-0049.jpg ALO_20BOC-2024-0120(2)_page-0050.jpg

该用户从未签到

69

主题

582

伯币

760

积分

韩国街菜鸟

积分
760
 楼主| 发表于 2024-12-5 16:24:12 | 显示全部楼层
ALO_20BOC-2024-0120(2)_page-0051.jpg ALO_20BOC-2024-0120(2)_page-0052.jpg ALO_20BOC-2024-0120(2)_page-0053.jpg ALO_20BOC-2024-0120(2)_page-0054.jpg ALO_20BOC-2024-0120(2)_page-0055.jpg ALO_20BOC-2024-0120(2)_page-0056.jpg ALO_20BOC-2024-0120(2)_page-0057.jpg ALO_20BOC-2024-0120(2)_page-0058.jpg ALO_20BOC-2024-0120(2)_page-0059.jpg ALO_20BOC-2024-0120(2)_page-0060.jpg

该用户从未签到

69

主题

582

伯币

760

积分

韩国街菜鸟

积分
760
 楼主| 发表于 2024-12-5 16:38:50 | 显示全部楼层
ALO_20BOC-2024-0120(2)_page-0061.jpg ALO_20BOC-2024-0120(2)_page-0062.jpg ALO_20BOC-2024-0120(2)_page-0063.jpg ALO_20BOC-2024-0120(2)_page-0064.jpg ALO_20BOC-2024-0120(2)_page-0065.jpg ALO_20BOC-2024-0120(2)_page-0066.jpg ALO_20BOC-2024-0120(2)_page-0067.jpg ALO_20BOC-2024-0120(2)_page-0068.jpg ALO_20BOC-2024-0120(2)_page-0069.jpg ALO_20BOC-2024-0120(2)_page-0070.jpg

该用户从未签到

69

主题

582

伯币

760

积分

韩国街菜鸟

积分
760
 楼主| 发表于 2024-12-5 16:58:46 | 显示全部楼层
ALO_20BOC-2024-0120(2)_page-0071.jpg ALO_20BOC-2024-0120(2)_page-0072.jpg ALO_20BOC-2024-0120(2)_page-0073.jpg ALO_20BOC-2024-0120(2)_page-0074.jpg ALO_20BOC-2024-0120(2)_page-0075.jpg ALO_20BOC-2024-0120(2)_page-0076.jpg ALO_20BOC-2024-0120(2)_page-0077.jpg ALO_20BOC-2024-0120(2)_page-0078.jpg ALO_20BOC-2024-0120(2)_page-0079.jpg ALO_20BOC-2024-0120(2)_page-0080.jpg

该用户从未签到

69

主题

582

伯币

760

积分

韩国街菜鸟

积分
760
 楼主| 发表于 2024-12-5 17:13:08 | 显示全部楼层
ALO_20BOC-2024-0120(2)_page-0081.jpg ALO_20BOC-2024-0120(2)_page-0082.jpg ALO_20BOC-2024-0120(2)_page-0083.jpg ALO_20BOC-2024-0120(2)_page-0084.jpg ALO_20BOC-2024-0120(2)_page-0085.jpg ALO_20BOC-2024-0120(2)_page-0086.jpg ALO_20BOC-2024-0120(2)_page-0087.jpg ALO_20BOC-2024-0120(2)_page-0088.jpg ALO_20BOC-2024-0120(2)_page-0089.jpg ALO_20BOC-2024-0120(2)_page-0090.jpg

该用户从未签到

69

主题

582

伯币

760

积分

韩国街菜鸟

积分
760
 楼主| 发表于 2024-12-5 17:20:15 | 显示全部楼层
ALO_20BOC-2024-0120(2)_page-0091.jpg ALO_20BOC-2024-0120(2)_page-0092.jpg ALO_20BOC-2024-0120(2)_page-0093.jpg ALO_20BOC-2024-0120(2)_page-0094.jpg ALO_20BOC-2024-0120(2)_page-0095.jpg ALO_20BOC-2024-0120(2)_page-0096.jpg ALO_20BOC-2024-0120(2)_page-0097.jpg ALO_20BOC-2024-0120(2)_page-0098.jpg ALO_20BOC-2024-0120(2)_page-0099.jpg ALO_20BOC-2024-0120(2)_page-0100.jpg

该用户从未签到

69

主题

582

伯币

760

积分

韩国街菜鸟

积分
760
 楼主| 发表于 2024-12-5 17:28:54 | 显示全部楼层
ALO_20BOC-2024-0120(2)_page-0101.jpg ALO_20BOC-2024-0120(2)_page-0102.jpg ALO_20BOC-2024-0120(2)_page-0103.jpg ALO_20BOC-2024-0120(2)_page-0104.jpg ALO_20BOC-2024-0120(2)_page-0105.jpg ALO_20BOC-2024-0120(2)_page-0106.jpg ALO_20BOC-2024-0120(2)_page-0107.jpg ALO_20BOC-2024-0120(2)_page-0108.jpg ALO_20BOC-2024-0120(2)_page-0109.jpg ALO_20BOC-2024-0120(2)_page-0110.jpg

该用户从未签到

69

主题

582

伯币

760

积分

韩国街菜鸟

积分
760
 楼主| 发表于 2024-12-5 17:34:47 | 显示全部楼层
ALO_20BOC-2024-0120(2)_page-0111.jpg ALO_20BOC-2024-0120(2)_page-0112.jpg ALO_20BOC-2024-0120(2)_page-0113.jpg ALO_20BOC-2024-0120(2)_page-0114.jpg ALO_20BOC-2024-0120(2)_page-0115.jpg ALO_20BOC-2024-0120(2)_page-0116.jpg ALO_20BOC-2024-0120(2)_page-0117.jpg ALO_20BOC-2024-0120(2)_page-0118.jpg ALO_20BOC-2024-0120(2)_page-0119.jpg ALO_20BOC-2024-0120(2)_page-0120.jpg

该用户从未签到

69

主题

582

伯币

760

积分

韩国街菜鸟

积分
760
 楼主| 发表于 2024-12-5 17:39:22 | 显示全部楼层
ALO_20BOC-2024-0120(2)_page-0121.jpg ALO_20BOC-2024-0120(2)_page-0122.jpg ALO_20BOC-2024-0120(2)_page-0123.jpg ALO_20BOC-2024-0120(2)_page-0124.jpg ALO_20BOC-2024-0120(2)_page-0125.jpg ALO_20BOC-2024-0120(2)_page-0126.jpg ALO_20BOC-2024-0120(2)_page-0127.jpg ALO_20BOC-2024-0120(2)_page-0128.jpg ALO_20BOC-2024-0120(2)_page-0129.jpg ALO_20BOC-2024-0120(2)_page-0130.jpg

该用户从未签到

69

主题

582

伯币

760

积分

韩国街菜鸟

积分
760
 楼主| 发表于 2024-12-5 17:44:09 | 显示全部楼层
ALO_20BOC-2024-0120(2)_page-0131.jpg ALO_20BOC-2024-0120(2)_page-0132.jpg ALO_20BOC-2024-0120(2)_page-0133.jpg ALO_20BOC-2024-0120(2)_page-0134.jpg ALO_20BOC-2024-0120(2)_page-0135.jpg ALO_20BOC-2024-0120(2)_page-0136.jpg ALO_20BOC-2024-0120(2)_page-0137.jpg ALO_20BOC-2024-0120(2)_page-0138.jpg ALO_20BOC-2024-0120(2)_page-0139.jpg ALO_20BOC-2024-0120(2)_page-0140.jpg

该用户从未签到

69

主题

582

伯币

760

积分

韩国街菜鸟

积分
760
 楼主| 发表于 2024-12-5 17:47:05 | 显示全部楼层
本帖最后由 泰伯乐小编 于 2025-1-18 10:23 编辑

ALO_20BOC-2024-0120(2)_page-0141.jpg ALO_20BOC-2024-0120(2)_page-0142.jpg ALO_20BOC-2024-0120(2)_page-0143.jpg ALO_20BOC-2024-0120(2)_page-0144.jpg ALO_20BOC-2024-0120(2)_page-0145.jpg ALO_20BOC-2024-0120(2)_page-0146.jpg

ALO泄漏名单(第一弹).pdf

8.23 MB , 下载次数: 13

该用户从未签到

111

主题

3736

伯币

4146

积分

王城探险家

积分
4146
发表于 2024-12-5 17:55:42 | 显示全部楼层
牛逼

该用户从未签到

706

主题

1万

伯币

6899

积分

王城探险家

积分
6899
发表于 2024-12-5 18:39:00 | 显示全部楼层
还好没有我!!吓死人了

该用户从未签到

344

主题

6335

伯币

5355

积分

王城探险家

积分
5355
发表于 2024-12-5 18:40:12 | 显示全部楼层
真的假的啊?卧槽了
  • TA的每日心情
    开心
    2025-11-7 14:43
  • 签到天数: 33 天

    38

    主题

    2245

    伯币

    5137

    积分

    王城探险家

    积分
    5137
    发表于 2024-12-5 23:33:27 | 显示全部楼层
    以前办过9g的怎么搞
  • TA的每日心情
    开心
    2025-1-18 06:14
  • 签到天数: 72 天

    40

    主题

    527

    伯币

    4552

    积分

    王城探险家

    积分
    4552
    发表于 2024-12-6 00:27:17 来自手机  | 显示全部楼层
    秋秋秋 发表于 2024-12-5 18:39
    还好没有我!!吓死人了

    😦
  • TA的每日心情
    无聊
    2025-1-20 10:22
  • 签到天数: 1 天

    1

    主题

    84

    伯币

    296

    积分

    Zzy新手村

    积分
    296
    发表于 2024-12-6 10:17:02 | 显示全部楼层
    咋感觉越南人比中国人多

    该用户从未签到

    13

    主题

    98

    伯币

    113

    积分

    Zzy新手村

    积分
    113
    发表于 2024-12-6 10:32:41 | 显示全部楼层
    卧槽不得了啊 这么多人 这回各自国家还不得直接按头噢
  • TA的每日心情
    开心
    2025-2-14 17:18
  • 签到天数: 3 天

    681

    主题

    1万

    伯币

    1万

    积分

    管理员

    积分
    10340
    发表于 2024-12-6 10:33:49 | 显示全部楼层
    完咯 完咯 这下回去直接抓起来啊老哥们
  • TA的每日心情
    开心
    2024-12-7 12:59
  • 签到天数: 2 天

    0

    主题

    21

    伯币

    41

    积分

    保关刚入境

    积分
    41
    发表于 2024-12-6 10:41:46 来自手机  | 显示全部楼层
    卧槽,这移民局不是把自己的客户信息全都给曝光了吗!
  • TA的每日心情
    开心
    2025-1-18 06:14
  • 签到天数: 72 天

    40

    主题

    527

    伯币

    4552

    积分

    王城探险家

    积分
    4552
    发表于 2024-12-7 02:26:36 来自手机  | 显示全部楼层
    野蛮从 发表于 2024-12-6 10:32
    卧槽不得了啊 这么多人 这回各自国家还不得直接按头噢

    中国才会被按头吧

    发表回复

    您需要登录后才可以回帖 登录 | 立即注册

    本版积分规则

    快速回复 返回顶部 返回列表